Magnetic trapping of 87Rb atoms
Non zero magnetic moment atoms are able to be trapped using inhomogenious magnetic field. Today, evaporative cooling of the magnetic trapped atoms is the only way to BEC, the magnetic trapping is very interesting. These figures ( Fig.1 & 2 ) are the absorption images of the 87Rb ( F=2, mF=+2 ) atoms in a quadrapole magnetic trap ( magnetic rotating axis is vertical . )

Fig.1 & 2 : Trapped 87Rb ( F=2, mF=+2 ) atoms using a quadurapole magnetic field.
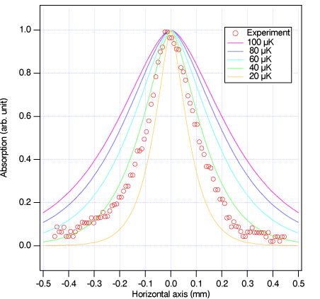
To make this magnetic trap, several sequencial techniques are accomplished, ( zeeman slowing, magnet optic trapping, and polarization gradient cooling. ) The existance of the strong magnetic field disturbs the absorption image and these images are shifted from the real colum density of trapped atoms. However, including the zeeman effect in a calculation, a quantitative temperature measurement of the trapped atoms is possible from the absorption images. Fig.3 is the example of this temperature measurement. From this analysis, the temperature of magnetic trapped atoms is 30~40 microK.

Fig.3 : Temperature measurement from the absorption image.
Japanese Home Map New Research Others